详细信息
产品名称:40吨三角吊钩
吊钩材料:
起重机吊钩除承受物品重量外,还要承受起升机构启动与制动时引起的冲击载荷作用,应具有较高的机械强度与冲击韧性。由于高强度材料通常对裂纹和缺陷敏感,吊钩一般采用优质低碳钢或低碳合金钢制造。
吊钩的结构:
吊钩的结构以锻造单钩为例说明。吊钩可以分为钩身和钩柄两部分。钩身是承受载荷的主要区段,制成弯曲形状,并留有钩口以便挂吊索。它常见的截面形状是梯形,合理的受力截面是T形(但锻造工艺复杂)。钩柄常制有螺纹,便于用吊钩螺母将钩子支承在吊钩横梁上。
吊钩的强度计算:
计算载荷考虑起升载荷动载系数φ2。
吊钩危险断面(见图6-2)有三个,水平断面A-A、垂直断面B-B、 钩柄螺纹根部C-C断面。按平面弹性曲杆理论对吊钩的受载状况进行受力分析。
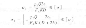
1、钩身水平断面A-A
A-A断面受力大。起升载荷PQ对A-A断面的作用为偏心拉力,在断面上形成弯曲和拉伸组合应力作用。断面内侧应力为较大拉应力σ1,断面外侧为较大压应力σ2,计算公式如下:




- 上一篇:50吨三角吊钩





豫公网安备 41072802000538号